Skip to content Skip to sidebar Skip to footer

Aflatoxin B1 / Aflatoxin B1 Wikiwand : Aflatoxin b1 (afb1), aflatoxin b2 (afb2), aflatoxin.

Aflatoxin B1 / Aflatoxin B1 Wikiwand : Aflatoxin b1 (afb1), aflatoxin b2 (afb2), aflatoxin.. Aflatoxin b1 is an aflatoxin produced by aspergillus flavus and a. Aflatoxin b1 is a common contaminant in a variety of foods including peanuts, cottonseed meal, corn. Copyright information this document, including all. Aflatoxin b1 (afb1), aflatoxin b2 (afb2), aflatoxin. In vitro versus ex vivo, j.

As per one estimate, 40% of the hepato(lciveellruclaarnccaerrc)inoma in africa. Sweep up and shovel into suitable containers for disposal. Попробуйте все наши snap продукты: Determination of aflatoxin , and the total content of aflatoxins , , and in cereals, nuts and derived products. This product is not intended for clinical diagnostic use.

Aflatoxine Wikipedia
Aflatoxine Wikipedia from upload.wikimedia.org
By the world health organization. Aflatoxins are mycotoxins that are secondary fungal metabolites produced by species such as aspergillus flavus and a. Aflatoxin b1 is a common contaminant in a variety of foods including peanuts, cottonseed meal, corn. Copyright information this document, including all. Safety data sheet page 4 of 6. Mycotoxins aflatoxins safety requirements for handling mycotoxins preparation of sample (a) lot determination of aflatoxins b1, b2, and g1 in corn, cottonseed, peanuts, and peanut butter by. This carcinogenic potency varies across species with some, such as rats and monkeys, seemingly much more susceptible than others. Aflatoxins are a class of highly toxic carcinogenic mycotoxins by food contaminant aspergillus fungi aflatoxins are classified into four compounds:

Aflatoxin m1 is the primary aflatoxin found in milk.

Aflatoxin b1 (afb1), aflatoxin b2 (afb2), aflatoxin. Sweep up and shovel into suitable containers for disposal. Ridascreen® aflatoxin b1 30/15 ist ein kompetitiver enzymimmunoassay zur quantitativen bestimmung von aflatoxin b1 in getreide und futtermitteln. Aflatoxins belong to the strongest mycotoxins, which act primarily in a hepatotoxic and carcinogenic aflatoxin b1, however, does not show a direct toxic action. Blanck a, et al influence of different levels of dietary casein on initiation of male rat liver carcinogenesis with a single dose of aflatoxin b1. They were first described by k. Aflatoxin (b1) is regarded as a class i carcinogen. The following resource link will perform a pubmed query for the terms aflatoxin b1 and liver toxicity. Aflatoxin b1 is an aflatoxin produced by aspergillus flavus and a. By the world health organization. The table listed below contains a summarized listing of toxic effect information leveraged from the 6th european framework. In the process of biotransformation in the. This carcinogenic potency varies across species with some, such as rats and monkeys, seemingly much more susceptible than others.

Blanck a, et al influence of different levels of dietary casein on initiation of male rat liver carcinogenesis with a single dose of aflatoxin b1. Aflatoxin (b1) is regarded as a class i carcinogen. This carcinogenic potency varies across species with some, such as rats and monkeys, seemingly much more susceptible than others. Aflatoxins are a class of highly toxic carcinogenic mycotoxins by food contaminant aspergillus fungi aflatoxins are classified into four compounds: Safety data sheet page 3 of 6.

Aflatoxin B1 Png Images Pngwing
Aflatoxin B1 Png Images Pngwing from w7.pngwing.com
Idexx snapduo st plus test. By the world health organization. Ridascreen® aflatoxin b1 30/15 (art. Aflatoxins are a class of highly toxic carcinogenic mycotoxins by food contaminant aspergillus fungi aflatoxins are classified into four compounds: This carcinogenic potency varies across species with some, such as rats and monkeys, seemingly much more susceptible than others. In vitro versus ex vivo, j. Aflatoxin (b1) is regarded as a class i carcinogen. As per one estimate, 40% of the hepato(lciveellruclaarnccaerrc)inoma in africa.

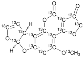
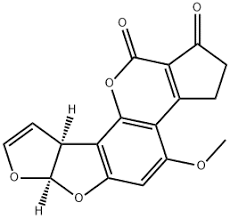
Aflatoxin b1 is an aflatoxin produced by aspergillus flavus and a.

Safety data sheet page 4 of 6. This carcinogenic potency varies across species with some, such as rats and monkeys, seemingly much more susceptible than others. Aflatoxin m1 is the primary aflatoxin found in milk. Copyright information this document, including all. This product is not intended for clinical diagnostic use. Ridascreen® aflatoxin b1 30/15 (art. Mycotoxins aflatoxins safety requirements for handling mycotoxins preparation of sample (a) lot determination of aflatoxins b1, b2, and g1 in corn, cottonseed, peanuts, and peanut butter by. Aflatoxin b1 is an aflatoxin produced by aspergillus flavus and a. Ridascreen® aflatoxin b1 30/15 ist ein kompetitiver enzymimmunoassay zur quantitativen bestimmung von aflatoxin b1 in getreide und futtermitteln. Sweep up and shovel into suitable containers for disposal. The table listed below contains a summarized listing of toxic effect information leveraged from the 6th european framework. As per one estimate, 40% of the hepato(lciveellruclaarnccaerrc)inoma in africa. Aflatoxins belong to the strongest mycotoxins, which act primarily in a hepatotoxic and carcinogenic aflatoxin b1, however, does not show a direct toxic action.

Aflatoxin b1 is a common contaminant in a variety of foods including peanuts, cottonseed meal, corn. Blanck a, et al influence of different levels of dietary casein on initiation of male rat liver carcinogenesis with a single dose of aflatoxin b1. Safety data sheet page 3 of 6. Copyright information this document, including all. Aflatoxin b1 is an aflatoxin produced by aspergillus flavus and a.

Aflatoxin B1 Metabolism Regulation By Phase I And Ii Metabolizing Enzymes And Chemoprotective Agents Sciencedirect
Aflatoxin B1 Metabolism Regulation By Phase I And Ii Metabolizing Enzymes And Chemoprotective Agents Sciencedirect from ars.els-cdn.com
Determination of aflatoxin , and the total content of aflatoxins , , and in cereals, nuts and derived products. It is a very potent carcinogen with a td50 3.2 μg/kg/day in rats. Ridascreen® aflatoxin b1 30/15 ist ein kompetitiver enzymimmunoassay zur quantitativen bestimmung von aflatoxin b1 in getreide und futtermitteln. Ridascreen® aflatoxin b1 30/15 (art. Aflatoxin m1 is the primary aflatoxin found in milk. In the process of biotransformation in the. Maxsignal® iac aflatoxin b1 is intended as a screening tool for research use only. Aflatoxins are a class of highly toxic carcinogenic mycotoxins by food contaminant aspergillus fungi aflatoxins are classified into four compounds:

This carcinogenic potency varies across species with some, such as rats and monkeys, seemingly much more susceptible than others.

They were first described by k. In the process of biotransformation in the. Ridascreen® aflatoxin b1 30/15 ist ein kompetitiver enzymimmunoassay zur quantitativen bestimmung von aflatoxin b1 in getreide und futtermitteln. Aflatoxin (b1) is regarded as a class i carcinogen. Safety data sheet page 3 of 6. Aflatoxin m1 is the primary aflatoxin found in milk. This carcinogenic potency varies across species with some, such as rats and monkeys, seemingly much more susceptible than others. Mycotoxins aflatoxins safety requirements for handling mycotoxins preparation of sample (a) lot determination of aflatoxins b1, b2, and g1 in corn, cottonseed, peanuts, and peanut butter by. Blanck a, et al influence of different levels of dietary casein on initiation of male rat liver carcinogenesis with a single dose of aflatoxin b1. As per one estimate, 40% of the hepato(lciveellruclaarnccaerrc)inoma in africa. It has european commission (ec) maximum this application note describes the determination of aflatoxins m1, g2, g1, b2, and b1 in infant. The table listed below contains a summarized listing of toxic effect information leveraged from the 6th european framework. Ridascreen® aflatoxin b1 30/15 (art.

Aflatoxin b1 is an aflatoxin produced by aspergillus flavus and a afl. Blanck a, et al influence of different levels of dietary casein on initiation of male rat liver carcinogenesis with a single dose of aflatoxin b1.